近日,云南师范大学地理学部、云南省高原地理过程与环境变化重点实验室陈光杰教授团队在国际环境领域顶级期刊Water Research发表题为《Carbon-nitrogen coupling in plateau lake ecosystems: Dual-isotope fingerprints of climate warming and anthropogenic intensification》的研究论文。Water Research属于环境科学与生态学领域的中科院一区TOP期刊,是国际公认的顶级学术期刊,2025年的影响因子为12.4。论文第一作者为地理学部2023级自然地理专业硕士研究生李春婷,通讯作者为地理学部陈光杰教授和黄林培副教授。

Fig. 1 Graphic abstract
作为湖泊生态系统中的初级生产者,浮游植物在水生碳氮循环中扮演着关键角色,其稳定同位素特征(如碳、氮同位素)成为记录气候波动与人类活动对生物地球化学过程影响的敏感示踪剂。基于对云南九大高原湖泊浮游植物碳氮同位素特征(2017-2022年)的系统分析,本研究揭示了耦合环境胁迫下(如气候变暖与人类活动叠加)的差异化调控机制,为理解高原湖泊生态系统的响应与适应提供了科学依据。

Fig.2Location and land use types of nine plateau lake basins in Yunnan
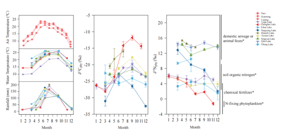
研究表明,浮游植物碳同位素分馏受生长速率和无机碳库变化的双重驱动,对温度表现出显著敏感性(+0.43‰/℃),并呈现季风调节的季节性模式。气候变暖可能增强湖泊有机质中13C富集效应,进而重塑气候变化下的元素碳分配格局。浮游植物氮同位素特征对流域城市化(以人口密度和建成区面积为表征)表现出非线性响应,其与流域土壤氮同位素基准值的偏差可有效追踪人为氮源(如15N贫化的农业肥料与15N富集的污水输入)。预计气候变暖与城市化的加剧将进一步放大湖泊碳氮耦合中的双同位素(13C和15N)印记。尤为关键的是,13C和15N同位素的同步富集会提升初级营养级的同位素基准信号,同时通过零点能效应降低食物链能量传递效率。上述同位素介导的动态过程不仅揭示了气候与人类活动之间的协同作用机制,更构建了一套兼具诊断功能与决策支持价值的同位素技术工具包,为脆弱高原生态系统的碳氮耦合诊断及适应性流域治理提供了科学依据。

Fig. 3 Seasonal variations of carbon and nitrogen isotopes of phytoplankton in 9 plateau lakes and air temperature at Yuxi, Kunming and Lijiang stations

Fig. 4Correlation ofδ15Nphywith population density, built-up area, and comprehensive trophicstatus index of lakes
近年来,地理学部始终坚守立德树人根本任务,紧密契合云南“生态文明建设排头兵”战略定位,以“扎根高原”为育人特色,通过多学科交叉融合,在高原湖泊治理、跨境生态安全等关键领域构建起独特优势。通过将学科优势转化为生态治理效能,不仅培养了大批扎根高原、服务边疆的高素质地理人才,更以科技与人才的双重支撑,为筑牢西南生态安全屏障提供了坚实保障。
原文链接:https://doi.org/10.1016/j.watres.2025.124793